Đáp án đề thi môn Toán tốt nghiệp THPT 2025 (đề chính thức)

Đáp án đề thi môn Toán tốt nghiệp THPT 2025 (đề chính thức) được cập nhật nhanh và chính xác nhất tại Tailieuonthi.org.

Năm 2025 là năm đầu tiên thực hiện thi tốt nghiệp THPT môn Toán và các môn học khác theo Chương trình Giáo dục phổ thông 2018 mới. Nội dung thi tốt nghiệp THPT chủ yếu ở chương trình lớp 12, nhưng cũng có thể có phần kiến thức thuộc lớp 10 và 11.

Môn Toán thi tốt nghiệp THPT được làm bài trong 90 phút, theo hình thức trắc nghiệm. 

Dưới đây là tổng hợp đề thi TN THPT 2025 môn Toán mà chúng mình sưu tầm được. Các bạn có thể xem hoặc tải về nhé.

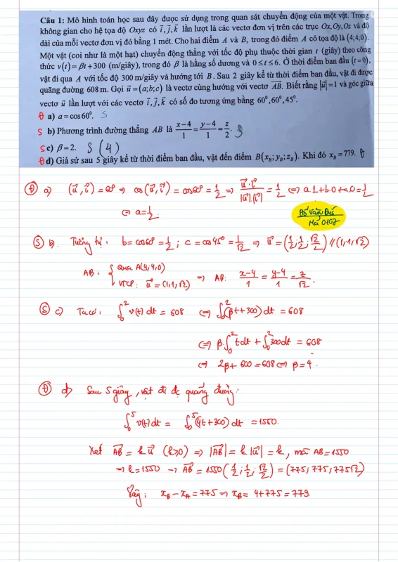
MÃ ĐỀ 120

Dưới đây là đáp án chi tiết của một số thầy cô các bạn có thể tham khảo nhé

Thầy Đỗ Văn Đức – Mã 120

PHẦN TRẮC NGHIỆM 4 PHƯƠNG ÁN LỰA CHỌN

12 câu đầu vẫn theo chuẩn cấu trúc của đề tham khảo, với mục tiêu xét tốt nghiệp, các em sẽ không gặp khó khăn để giải hết

PHẦN TRẮC NGHIỆM ĐÚNG SAI (xét theo mức từ dễ đến khó)

Câu 1. Hàm số – Câu này rất dễ và chắc chắn các em sẽ làm tốt

Câu 2. Xác suất có điều kiện – Đây là dạng toán dễ của xác suất có điều kiện, thông thường các em chỉ cần vẽ một sơ đồ cây là xong. Phần này các em cũng được luyện khá nhiều nên chắc chắn bài này không làm khó khăn cho các em được

Câu 3. (nuôi trồng thủy sản) – Bài toán thực tế này bản chất là xét 1 hàm số, chủ yếu em cần đọc đề để hiểu rõ mối quan hệ giữa y(t) và g(t), từ đó thay số vào

Câu 4. (Oxyz – có lồng ghép vào bài toán chuyển động) – Chủ yếu bài toán này em cần đọc hiểu từng dữ kiện và xử lý. Xét 1 cách công bằng thì đây vẫn là 1 bài toán nhẹ nhàng, chủ yếu rèn luyện bản lĩnh phòng thi vì đề dài làm cho ta đọc đề sẽ cảm thấy hơi cuống

PHẦN TRẮC NGHIỆM TRẢ LỜI NGẮN

Câu 1. Hàm số – (kinh tế) – Bài toán khá đơn giản, chỉ cần nắm được lợi nhuận bằng doanh thu trừ chi phí.

Câu 2. Quy hoạch tuyến tính – Thực sự học sinh đã được luyện từ năm lớp 10, và năm nay thầy luôn nhấn mạnh em cần lưu ý phần quy hoạch tuyến tính. Thầy nghĩ câu này đa số các em quen thuộc và làm tốt.

Câu 3. Hình học không gian – Bài toán này có khá nhiều cách, kể cả ghép hệ trục tọa độ Oxyz cũng được. Trong phòng thi em có thể dùng ĐKH, hoặc làm trực tiếp tạo mặt phẳng song song, hoặc tạo đường vuông góc chung…

Câu 4. Ứng dụng tích phân – Bài toán này bản chất là tính thể tích khối chóp cụt trừ thể tích khối tròn xoay cắt ra từ mặt cầu. Chủ yếu em cần hiểu rõ đề nói cái gì, còn phần tính toán khá quen thuộc

Câu 5. Xác suất kệ sách – Đây là 1 bài toán hay, bài toán này nếu em nào đã học những bài toán đếm, như vách ngắn, hoặc là đã học bài toán chia kẹo Euler thì có thể tư duy nhanh được. Tuy nhiên chắc chắn bài này cũng sẽ gây nhiều khó khăn cho hầu hết các bạn, vì bản chất học sinh thường hay sợ xác suất, và còn tâm lý phòng thi nữa.

Câu 6. Xác suất giải mật mã cấp số cộng – Đây là câu khó nhất đề và sẽ là câu phân loại trong kì thi năm nay. Chủ yếu nó dễ khiến cho học sinh nhầm và giải sai.

Đánh giá chung: Với năm đầu tiên thi theo chương trình mới, thầy Đức nghĩ đề thi như vậy là hay, phù hợp kiến thức và có tính phân loại. Đề này chắc chắn sẽ không dễ dàng được điểm cao vì còn tâm lý phòng thi, đặc biệt là trong phòng thi áp lực, em gặp những bài toán thực tế cần đọc hiểu cũng là 1 phần gây khó khăn cho các em.

Thầy Đỗ Văn Đức – Mã 120

Leave a Reply

Your email address will not be published. Required fields are marked *