Đề đánh giá năng lực HSA Toán học số 38 được xây dựng theo cấu trúc và định hướng mới nhất của kỳ thi Đánh giá năng lực (ĐGNL) do Đại học Quốc gia Hà Nội tổ chức. Đề thi có nội dung phong phú, độ phân hóa cao, bao quát hầu hết các chuyên đề trọng tâm của Toán THPT, đặc biệt nổi bật ở Giải tích hàm số, bài toán tối ưu thực tế và xác suất – thống kê.
Ngoài ra các bạn có thể lấy tài liệu ôn thi ĐGNL môn toán tại web nhé.
Tham khảo: Đề thi thử đánh giá năng lực HSA Toán học số 37
Nội dung đề thi thử ĐGNL HSA Toán học số 38
Đề gồm 50 câu với nhiều dạng câu hỏi phủ hết kiến thức THPT nhưng tiêu biểu có một số chủ đề sau
| Chuyên đề | Mô tả |
|---|---|
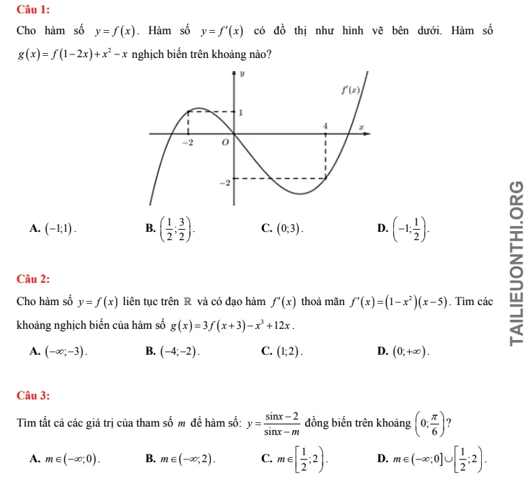
| Giải tích Hàm số | Đồng biến, nghịch biến (Câu 1, 2, 18), cực trị (Câu 5, 6, 8), giá trị lớn nhất/nhỏ nhất (Câu 10, 12), phương trình có nghiệm (Câu 9, 11). |
| Lôgarit và Mũ | Bất phương trình mũ/logarit (Câu 7, 31, 35, 36), phương trình logarit (Câu 34). |
| Hình học không gian | Khoảng cách, góc giữa đường thẳng và mặt phẳng, diện tích thiết diện của khối chóp (Câu 16, 17, 22, 24, 25, 38, 39, 41). |
| Ứng dụng thực tế | Bài toán tối ưu hóa (diện tích nhỏ nhất – Câu 14, lợi nhuận lớn nhất – Câu 15, công suất tiêu thụ lớn nhất – Câu 26), bài toán lãi kép (Câu 37), bài toán tốc độ và gia tốc (Câu 32), tăng trưởng quần thể (Câu 29). |
| Xác suất và Thống kê | Tính xác suất (Câu 43, 46, 47, 48), tính độ lệch chuẩn từ bảng số liệu ghép nhóm (Câu 33). |
| Các vấn đề khác | Cấp số cộng (Câu 10, 28), giới hạn (Câu 30), phương trình lượng giác (Câu 27), hình học giải tích (tiêu cự Elip – Câu 40), bài toán logic (Câu 50). |
Tải đề thi thử đánh giá năng lực HSA Toán học số 38
Các bạn có thể tải đề miễn phí ở đây
TẢI ĐỀ VÀ ĐÁP ÁN HSA TOÁN SỐ 38
Xem thử tài liệu


