Tailieuonthi chia sẻ chuyên đề toán TSA phần 2: Hàm số & đồ thị. Phương trình, hệ phương trình bao gồm bài tập và lời giải chi tiết, đã phân chia thành từng dạng bám sát theo cấu trúc của cuốn cẩm nang thi đánh giá tư duy của Đại học Bách Khoa HN.
Tài liệu được biên soạn và chia sẻ miễn phí bởi team tuduy.vn, và bám theo cẩm nang nên anh em nên mang về để học nhé.
Tham khảo: Chuyên đề Toán TSA: Biểu thức đại số và căn thức (giải chi tiết)
Tải chuyên đề Toán TSA: Hàm số & đồ thị. Phương trình, hệ phương trình
Để tải tài liệu này, các bạn làm theo các bước sau:
- Follow page Tuduy.vn – Chinh phục kỳ thi đánh giá tư duy Đhbkhn
- Thả tim và chia sẻ bài viết sau ở chế độ công khai trên Facebook: https://www.facebook.com/share/p/1Fa7sFMDuC/
- Bình luận “Team Tuduy” ở bài viết https://www.facebook.com/share/p/1Fa7sFMDuC/; tài liệu sau đó sẽ được gửi cho bạn
Nội dung tài liệu mở rộng chuyên đề Hàm số & đồ thị. Phương trình, hệ phương trình
Tài liệu được chia thành nhiều phần:
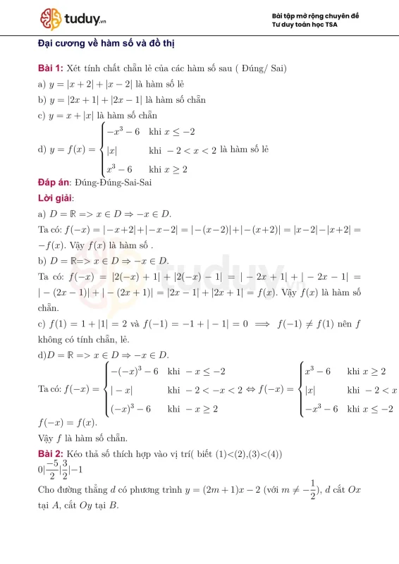
- Hàm số, đồ thị, phương trình: Phần này bao gồm các bài toán về xác định tính chẵn/lẻ của hàm số, tìm tham số cho đường thẳng thỏa mãn các điều kiện nhất định, tìm điểm bất động của đường thẳng và đánh giá các phát biểu về hàm số tuyến tính và đồ thị của chúng.
- Hàm số và đồ thị bậc nhất: Diễn giải hệ thống giá điện theo bậc thang (giá điện) dưới dạng hàm từng phần, phân tích đồ thị của hàm số tuyến tính, tìm điểm bất động và các tính chất của đường thẳng như độ dốc và độ vuông góc.
- Hàm số và đồ thị bậc 2: Các chủ đề như tìm điều kiện để đường thẳng và parabol giao nhau, tối đa hóa doanh thu cho một trang trại, tính diện tích giữa parabol và trục x, tìm quỹ tích điểm giữa giao điểm và tối thiểu hóa khoảng cách giữa hai vật chuyển động.
- Phương trình bậc nhất một ẩn, hai ẩn: Phần này cung cấp nhiều bài toán lời văn có thể chuyển thành phương trình tuyến tính, chẳng hạn như bài toán tốc độ và thời gian, bài toán năng suất lao động và hệ phương trình.
- Nhận biết khái niệm hệ phương trình bậc nhất 2 ẩn và biểu diễn nghiệm
- Hệ phương trình bậc nhất 2 ẩn, 3 ẩn: Phần này bao gồm các bài toán về giải hệ phương trình, bao gồm các bài toán liên quan đến các tình huống thực tế như hỗn hợp, bài toán công và bài toán chuyển động (thuyền trên sông).







